What is reliability? Explain the different tests available to social science researcher to establish reliability. (UPSC CSE Mains 2022 - Sociology, Paper 1)

The reliability of a method refers to the extent to which, were the same study to be repeated, it would produce the same results. The problem of reliability influences every aspect of social research. The social phenomena being a  complicated affair, because of its concern with human beings and qualitative nature of data, the data  are not necessarily reliable and valid. For instance, if a researcher is interested to make an analysis of the political speeches delivered by different leaders  and published in several newspapers, the initial problem which confronts the investigation is to provide  the analysis of data from the speeches of political leaders so as to enable the investigator to observe  them in an objective and reliable manner.

Reliability involves a couple of broad aspects, such as ; (i)  agreement with regard to the outline of analysis, (ii) defining various categories of data. In social research the researchers should have an agreement about the various aspects of the data to be  analysed. It becomes difficult to reach any conclusion in the absence of common agreement about the  outline of the analysis.

There are four ways a researcher can possibly test for reliability these are:

Test-Retest Reliability  

This is the degree to which scores are consistent over time. In the test-retest reliability, the same test is administered on two or more occasions  to the same set of individuals. If the test is reliable, there will be a high  positive association between the scores. For example, a physical fitness  test may be given to a class during one week and the same test given  again the following week. If the test is reliable, each individual’s  relative position on the second administration of the test will be near  his/her relative position on the first administration of the test, the  reliability coefficient (rxx) will be near 1. Any change in relative  position from one occasion to the next is considered as error, the rxx  will be near 0. The procedure for determining test-retest reliability is  basically quite simple.  1. Administer the test to an appropriate group  2. After a period of time has passed, say two weeks, administer the  same test to the same group.  3. Correlate the two sets of scores  4. Evaluate the results 

Equivalent form Reliability  

It is two tests that are identical in every way except for the actual items  included. The two forms measure the same variables, have the same  number of items, the same structure, the same difficulty level and the  same direction for administration, scoring and interpretation. It involves  the use of two or more equivalent forms of the test. The two forms are  administered to a group of individuals with a short time interval between  the periods of their administration. If subjects are tested with one form  on one occasion and their scores on the two forms are correlated, then  the test is reliable and there will be a high positive association between  the scores  

The major problem involved with this method of estimating reliability is  the difficulty of constructing two forms that are essentially equivalent.  Lack of equivalence is a source of measurement error. It is  recommended when one wishes to avoid the problem of recall or  practice effect and in cases when one has available a large number of  test items from which to select equivalent samples. It provides the test  estimate of the reliability of the academic and psychological measures. 

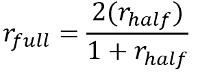
Split-Half Reliability  

A common type of internal consistency reliability is referred to as SplitHalf Reliability. Since it requires only one administration of a test in  computing it, the test item are divided into the halves, with the item of  the two halves matched on content and difficulty and two halves are  then scored independently. If the test is reliable, the scores on the two  halves have a high positive association. An individual scoring high on  one half would tend to score high on the other half and vice versa.  Longer tests are more reliable than shorter tests if everything else is  equal. To transform the split-half correlation into an appropriate  reliability estimate for the entire test, the Spearman-Brown prophecy  formula is employed:

 Spearman-Brown prophecy  formula

Rationale Equivalent Reliability  

This method is also known as “Kuder-Richardson Reliability’ or ‘Inter-Item Consistency’. It is a method based on single administration. It is based on consistency of responses to all items. The most common way for finding inter-item consistency is through the formula developed by Kuder and Richardson (1937). This method enables to compute the inter-correlation of the items of the test and correlation of each item with all the items of the test. J. Cronbach called it as coefficient of internal consistency.  In this method, it is assumed that all items have same or equal difficulty value, correlation between the items are equal, all the items measure essentially the same ability and the test is homogeneous in nature. Like split-half method this method also provides a measure of internal consistency.

Inter-Rater Reliability  

It is important in measuring instruments that require ratings or  observations of individuals by other individuals. It is also called inter-observer reliability. It is an index of the extent to which different judges/ observers give similar ratings to the same behavior. One must show that  the ratings assigned are not influenced by the observers own values,  attitudes and other personality characteristics. 



POSTED ON 11-05-2023 BY ADMIN
Next previous